A Estratégia para Plataformas Binárias se destaca no universo do trading por sua combinação otimizada de indicadores, cada um desempenhando uma função essencial. Este sistema foi desenvolvido para oferecer clareza e precisão na leitura de sinais, garantindo que todas as peças do quebra-cabeça se encaixem de maneira eficaz. Ideal para traders que buscam aproveitar ao máximo as oportunidades no mercado de opções binárias, a estratégia equilibra tendências, correções e continuidades de forma estratégica.
Neste guia, vamos explorar detalhadamente como a estratégia funciona, os indicadores que a compõem, além de suas regras e melhores práticas para maximizar resultados.Como Funciona a Estratégia para Plataformas Binárias?
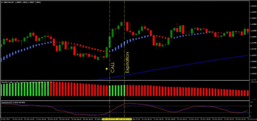
A Estratégia para Plataformas Binárias utiliza uma combinação de indicadores otimizados no Metatrader4 (MT4) para detectar momentos precisos de entrada no mercado. Com sinais claros baseados em movimentos de tendências e padrões de reversão, a estratégia é ideal para o timeframe de 5 minutos (M5) e expirações de 30 minutos.
Os ativos recomendados são pares de moedas principais (Majors) e commodities, com preferência pelas sessões de negociação europeia e americana, onde há maior liquidez e volatilidade.
Indicadores Utilizados na Estratégia
1. xpMA
- Função: Indica a direção da tendência predominante.
- Sinal de Compra (CALL): Quando a linha xpMA se colore de azul.
- Sinal de Venda (PUT): Quando a linha xpMA se colore de vermelho.
2. HAMA
- Função: Um indicador baseado em médias móveis que confirma reversões de tendência.
- Sinal de Compra (CALL): HAMA vira azul, confirmando tendência de alta.
- Sinal de Venda (PUT): HAMA vira vermelho, confirmando tendência de baixa.
3. MACD
- Função: Avalia a força do movimento de preços e sua direção.
- Sinal de Compra (CALL): Barras verdes acima da linha zero.
- Sinal de Venda (PUT): Barras vermelhas abaixo da linha zero.
4. Stochastic Oscillator
- Função: Determina condições de sobrecompra e sobrevenda.
- Sinal de Compra (CALL): Quando está na zona de sobrevenda (<20).
- Sinal de Venda (PUT): Quando está na zona de sobrecompra (>80).
5. Setas de Sinalização
- Função: Indicam oportunidades de entrada com base na combinação dos indicadores acima.
- Sinal de Compra (CALL): Setas apontando para cima.
- Sinal de Venda (PUT): Setas apontando para baixo.
Regras para Negociações com a Estratégia
Operações de Compra (CALL)
- A seta de sinalização aponta para cima.
- xpMA está azul.
- HAMA também se torna azul.
- MACD exibe barras verdes acima da linha zero.
- Stochastic está na zona de sobrevenda (<20).
Operações de Venda (PUT)
- A seta de sinalização aponta para baixo.
- xpMA está vermelha.
- HAMA também se torna vermelha.
- MACD exibe barras vermelhas abaixo da linha zero.
- Stochastic está na zona de sobrecompra (>80).
Tabela Explicativa dos Indicadores e Sinais
| Indicador | Função | Sinal de Compra (CALL) | Sinal de Venda (PUT) |
|---|---|---|---|
| xpMA | Direção da tendência | Linha azul | Linha vermelha |
| HAMA | Confirmação de reversão | Azul (alta) | Vermelha (baixa) |
| MACD | Força do movimento de preços | Barras verdes acima de zero | Barras vermelhas abaixo de zero |
| Stochastic Oscillator | Condição de mercado | Zona de sobrevenda (<20) | Zona de sobrecompra (>80) |
| Setas de Sinalização | Indicação visual de entrada | Setas apontando para cima | Setas apontando para baixo |
Tem Como Melhorar esta
Sim, há várias maneiras de melhorar a Estratégia para Plataformas Binárias, tornando-a mais robusta, precisa e adaptável às condições de mercado. Abaixo estão algumas sugestões de melhorias organizadas em categorias-chave:
1. Diversificação de Indicadores
Embora a estratégia já combine vários indicadores, incluir outros que complementem os existentes pode melhorar a precisão dos sinais.
- Indicadores de Volume:
- Adicione o Volume Profile ou o On-Balance Volume (OBV) para confirmar a força de movimentos. Isso pode evitar falsos sinais em períodos de baixa liquidez.
- Indicadores de Volatilidade:
- Inclua o Bollinger Bands para identificar extremos no preço. Isso ajuda a confirmar reversões antes de entrar no mercado.
2. Filtragem Adicional de Sinais
Reduzir os sinais falsos é essencial para qualquer estratégia. Você pode fazer isso introduzindo filtros adicionais:
- Confirmação Multitemporal:
- Verifique a direção da tendência em timeframes maiores (exemplo: M15 ou H1). Isso ajuda a alinhar as operações no M5 com a tendência predominante.
- Cruzamento de Médias Móveis:
- Use médias móveis adicionais, como a EMA de 50 períodos, para filtrar sinais. Negocie apenas na direção da média móvel.
3. Ajuste de Parâmetros dos Indicadores Existentes
Personalizar os indicadores com base nos ativos e condições de mercado pode aumentar a eficácia da estratégia:
- MACD: Ajuste os períodos para aumentar a sensibilidade em mercados mais rápidos ou suavizar em ativos mais lentos.
- Stochastic Oscillator: Teste níveis personalizados (como 85/15) para mercados altamente voláteis.
4. Adaptação às Notícias e Horários
Evitar períodos de alta volatilidade devido a eventos econômicos pode salvar operações desnecessárias:
- Calendário Econômico: Utilize ferramentas como o Forex Factory para evitar negociar durante lançamentos de notícias importantes.
- Sessões Específicas: Limite as operações às sessões europeia e americana para maior liquidez.
5. Inclusão de Alerta Automatizado
Automatizar o sistema de alertas para sinais claros reduz a necessidade de monitoramento contínuo:
- Alertas no Metatrader4: Configure notificações automáticas para quando todos os indicadores estiverem alinhados.
- Integração com Aplicativos Móveis: Receba alertas no celular para reagir rapidamente às oportunidades.
6. Implementação de Gestão de Riscos Avançada
Um bom gerenciamento de risco é essencial para proteger o capital:
- Risco por Operação: Não arrisque mais de 1-2% do capital em uma única operação.
- Diversificação de Ativos: Negocie em diferentes ativos para reduzir o impacto de eventos específicos.
- Stop Loss Virtual: Embora opções binárias não usem stop loss, estabeleça limites de perdas diárias para evitar overtrading.
7. Teste em Diferentes Condições de Mercado
Realize backtesting e forward testing para identificar em quais condições a estratégia é mais eficaz:
- Backtesting Histórico: Teste a estratégia em condições de alta volatilidade e lateralização para entender sua eficácia.
- Conta Demo: Use uma conta demo para ajustar os parâmetros antes de aplicá-los ao mercado real.
8. Introdução de Componentes Psicológicos
Gerenciar o lado emocional é crucial para seguir a estratégia com disciplina:
- Plano de Negociação: Crie um plano detalhado que defina quando entrar, sair e pausar negociações.
- Controle de Emoções: Use diários de trading para avaliar suas decisões e aprender com erros.
Exemplo de Regras Melhoradas para Entrada
Operações de Compra (CALL):
- A seta aponta para cima.
- xpMA está azul.
- HAMA virou azul.
- MACD está acima de zero e verde.
- Stochastic está na zona de sobrevenda (<20).
- Confirmação adicional: A tendência no timeframe M15 também é de alta.
Operações de Venda (PUT):
- A seta aponta para baixo.
- xpMA está vermelha.
- HAMA virou vermelha.
- MACD está abaixo de zero e vermelho.
- Stochastic está na zona de sobrecompra (>80).
- Confirmação adicional: A tendência no timeframe M15 também é de baixa.
Benefícios das Melhorias
- Redução de Falsos Sinais: Mais confirmações tornam os sinais mais confiáveis.
- Aumento de Lucratividade: Ajustes em tempo real garantem operações mais eficazes.
- Maior Consistência: Regras claras ajudam a manter disciplina.
FAQs sobre a Estratégia para Plataformas Binárias
1. Qual o melhor timeframe para usar a estratégia?
O timeframe M5 é o mais indicado, com expiração de 30 minutos.
2. Posso usar essa estratégia com outros ativos além de Majors?
Sim, mas é recomendável testá-la antes em uma conta demo para ativos como commodities e índices.
3. O que fazer se os sinais forem contraditórios?
Evite operar e aguarde uma confirmação clara de todos os indicadores.
4. A estratégia é eficaz em mercados laterais?
Ela funciona melhor em mercados com tendências bem definidas. Evite utilizá-la em períodos de consolidação.
5. Posso ajustar os parâmetros dos indicadores?
Sim, ajustes são recomendados para adaptar a estratégia ao seu estilo de negociação.
6. É necessário usar o Metatrader4?
Sim, a estratégia foi desenvolvida para ser implementada no MT4.
7. Posso automatizar essa estratégia?
Sim, é possível criar um robô de negociação (EA) baseado nas regras da estratégia.
8. Qual a taxa de sucesso esperada?
Combinada com uma boa gestão de riscos, a estratégia pode oferecer uma taxa de sucesso acima de 70%.
Conclusão
A Estratégia para Plataformas Binárias combina indicadores robustos para fornecer sinais claros e confiáveis. Ideal para timeframes curtos, como M5, e expirações de 30 minutos, ela é uma ferramenta poderosa para traders que buscam maximizar seus lucros no mercado de opções binárias.
Com os ajustes certos e disciplina, essa estratégia pode se tornar um aliado indispensável nas suas negociações. Lembre-se de sempre testar antes de aplicar em operações reais e manter um registro para aprimorar continuamente seus resultados.

Sou Ricardo Mendes, investidor independente desde 2017. Ao longo dos anos, me aprofundei em análise técnica e em estratégias de gestão de risco. Gosto de compartilhar o que aprendi e ajudar iniciantes a entender o mercado de Forex e Cripto de forma simples, prática e segura, sempre colocando a proteção do capital em primeiro lugar.
O conteúdo apresentado tem caráter exclusivamente educativo e informativo. Nada aqui deve ser interpretado como consultoria financeira, recomendação de compra ou venda de ativos, ou promessa de resultados. Criptomoedas, Forex, ações, opções binárias e demais instrumentos financeiros envolvem alto risco e podem levar à perda parcial ou total do capital investido.
Pesquise por conta própria (DYOR) e, sempre que possível, busque a orientação de um profissional financeiro devidamente habilitado antes de tomar qualquer decisão.
A responsabilidade pelas suas escolhas financeiras começa com informação consciente e prudente.
Atualizado em: abril 30, 2026














